Аватара пользователя
OVEN74
#5352869 все вопросы в л.с.

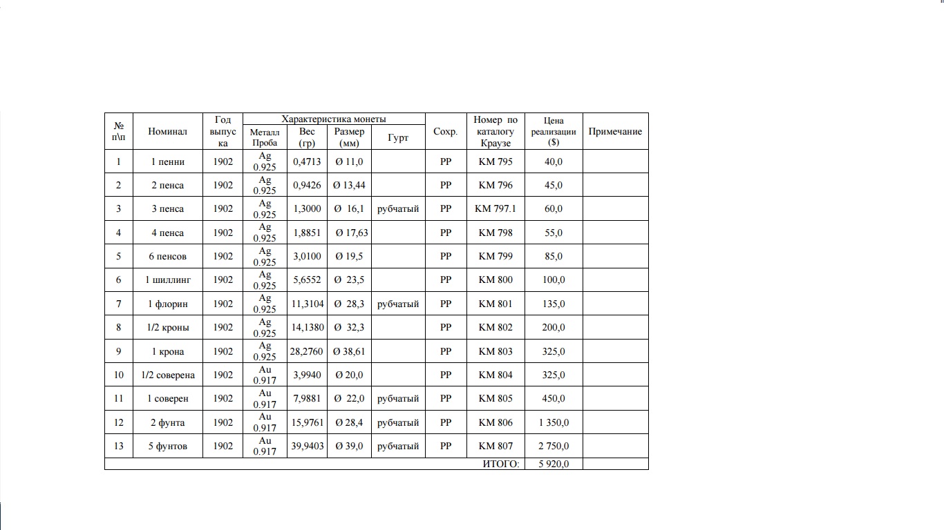
вот так выглядит набор( сделан простой мыльницей) + спецификация
сканы будут чуть позже, если необходимы сканы каждой монеты - ещё
чуть позже
возможна личная встреча в МСК и СПБ в период 23-25.10

блицы:
All (13 st) = 400 000 руб
Au (4 st ) = 330 000 руб
Ag (9 st ) = 70 000 руб

меньше предлагайте
Фото
Великобритания Edvard VII specimen coins 1902
Великобритания Edvard VII specimen coins 1902
Великобритания Edvard VII specimen coins 1902
Великобритания Edvard VII specimen coins 1902
Аватара пользователя
OVEN74
#5356308 сканы
Фото
Великобритания Edvard VII specimen coins 1902
Великобритания Edvard VII specimen coins 1902
Великобритания Edvard VII specimen coins 1902
Великобритания Edvard VII specimen coins 1902
Аватара пользователя
OVEN74
#5356311 ещё
Фото
Великобритания Edvard VII specimen coins 1902
Великобритания Edvard VII specimen coins 1902
Великобритания Edvard VII specimen coins 1902
Великобритания Edvard VII specimen coins 1902